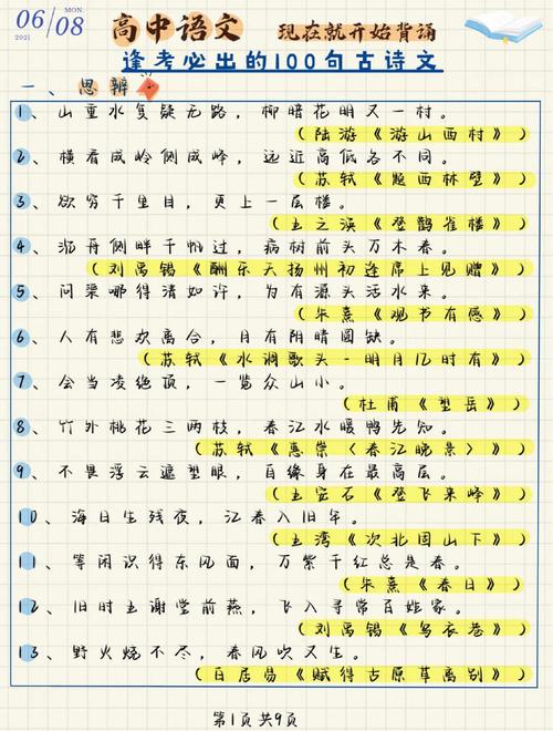
必修4古诗文,高考重点难点怎么突破?
经典古诗 2026年1月10日 07:59:43 99ANYc3cd6
第一单元:词二首
《雨霖铃·寒蝉凄切》 - 柳永
-
【朝代】 北宋
-
【体裁】 词(长调、慢词)
(图片来源网络,侵删) -
【作者】 柳永,北宋婉约派词人的代表人物,其词多写市井生活、离愁别绪,语言通俗,音律谐婉,流传极广。
-
【原文】
寒蝉凄切,对长亭晚,骤雨初歇,都门帐饮无绪,留恋处,兰舟催发,执手相看泪眼,竟无语凝噎,念去去,千里烟波,暮霭沉沉楚天阔。
多情自古伤离别,更那堪,冷落清秋节!今宵酒醒何处?杨柳岸,晓风残月,此去经年,应是良辰好景虚设,便纵有千种风情,更与何人说?
(图片来源网络,侵删) -
【核心主旨】 这首词是柳永的代表作,也是宋词中写“离别”的千古绝唱,词人通过描绘与恋人长亭送别的场景,抒发了深沉、缠绵的离愁别绪和对未来的无限伤感。
-
【名句赏析】
- “执手相看泪眼,竟无语凝噎。”
- 赏析: 这两句是千古传诵的名句,它没有直接写“哭”,而是通过“执手”、“相看”、“泪眼”、“无语”这几个动作和神态,将那种悲痛欲绝、千言万语堵在喉头、无法言说的深情表现得淋漓尽致,无声胜有声,情感浓度极高。
- “今宵酒醒何处?杨柳岸,晓风残月。”
- 赏析: 这是词中的“千古名句”,被誉为“融情入景”的典范,词人设想酒醒之后的孤寂场景:岸边的杨柳(古人有折柳送别的习俗)、清晨的凉风、天边的一弯残月,这三个意象组合在一起,构成了一幅凄清、冷寂的画面,将词人内心的孤独、凄凉和漂泊无依之感完全烘托了出来。
- “多情自古伤离别,更那堪,冷落清秋节!”
- 赏析: 这两句是全词的“词眼”,由个人的离别之情上升到普遍的人生感慨,它点明了“离别”自古就是令人伤感的事情,更何况是在这萧瑟、凄冷的秋天,更是雪上加霜,将情感推向了高潮。
- “执手相看泪眼,竟无语凝噎。”
-
【艺术手法】
- 情景交融(融情于景): 全词几乎句句写景,但景中含情,寒蝉、长亭、骤雨、烟波、暮霭、杨柳、晓风、残月,这些景物都带有凄清、萧瑟的色彩,与词人的离愁别绪完美融合。
- 虚实结合: 上阕写离别时的实情实景,是“实”;下阕“念去去”和“今宵酒醒何处”则是想象未来的虚景,是“虚”,虚实结合,拓展了词的意境和情感深度。
- 音律和谐: 作为慢词,柳永的长于铺叙,音节舒缓和婉,非常适合表达这种缠绵细腻的情感。
《念奴娇·赤壁怀古》 - 苏轼
-
【朝代】 北宋
(图片来源网络,侵删) -
【体裁】 词(豪放派代表作)
-
【作者】 苏轼,北宋文学巨匠,诗、词、文、书、画俱佳,其词风格豪放开阔,一扫晚唐五代以来的绮靡之风,开创了豪放词派。
-
【原文】
大江东去,浪淘尽,千古风流人物,故垒西边,人道是,三国周郎赤壁,乱石穿空,惊涛拍岸,卷起千堆雪,江山如画,一时多少豪杰。
遥想公瑾当年,小乔初嫁了,雄姿英发,羽扇纶巾,谈笑间,樯橹灰飞烟灭,故国神游,多情应笑我,早生华发,人生如梦,一尊还酹江月。
-
【核心主旨】 这首词是豪放词的巅峰之作,词人通过游览赤壁古战场,联想到三国时期的英雄周瑜,抒发了对英雄人物的仰慕之情,以及自己怀才不遇、功业未就的感慨,最后以“人生如梦”的旷达之语作结,表现出一种超脱世俗的豪迈情怀。
-
【名句赏析】
- “大江东去,浪淘尽,千古风流人物。”
- 赏析: 开篇即景,气势磅礴,用“大江”的永恒流动,对比“风流人物”的转瞬即逝,奠定了全词雄浑、苍凉的基调,这是典型的“以景起兴”,将宏大的历史时空感瞬间拉开。
- “乱石穿空,惊涛拍岸,卷起千堆雪。”
- 赏析: 这三句从视觉、听觉、触觉等多个角度描绘了赤壁的险峻和壮阔。“乱石穿空”写山之险,“惊涛拍岸”写水之猛,“卷起千堆雪”用比喻写浪之高,寥寥数语,赤壁的雄奇景象便跃然纸上,充满力量感。
- “羽扇纶巾,谈笑间,樯橹灰飞烟灭。”
- 赏析: 这几句集中刻画了周瑜的儒雅、从容和智慧,他没有披坚执锐,而是“羽扇纶巾”,在“谈笑间”就轻松击败了强大的敌人,这种举重若轻的描写,极大地凸显了英雄人物的非凡气度。
- “人生如梦,一尊还酹江月。”
- 赏析: 这是全词的点睛之笔和情感升华,从追忆英雄回到自身,词人意识到自己功业未成,早生华发,不禁心生感慨,但他没有沉溺于伤感,而是将这种感慨升华为一种“人生如梦”的哲学思考,并将一杯酒洒向江月,与天地自然融为一体,表现出一种超然物外的旷达与豪迈。
- “大江东去,浪淘尽,千古风流人物。”
-
【艺术手法】
- 豪放雄浑的风格: 意境开阔,气势宏大,将写景、怀古、抒情融为一体,一扫词坛的婉约之风。
- 对比手法: 将周瑜的“年少有为”(“小乔初嫁了”)与自己的“早生华发”形成鲜明对比,突出自己的失意和感慨。
- 虚实结合: 词中的赤壁景象、周瑜的雄姿是“虚写”(词人所游并非真正的古战场),但情感却是“实感”,虚实结合,更增添了历史的沧桑感和艺术的感染力。
第二单元:宋词四首
《定风波·莫听穿林打叶声》 - 苏轼
-
【朝代】 北宋
-
【体裁】 词
-
【核心主旨】 这首词写于苏轼因“乌台诗案”被贬黄州时期,通过途中遇雨的一件小事,词人表达了在人生风雨面前,不逃避、不悲叹,而是泰然处之、乐观旷达的人生态度和超凡的胸襟。
-
【名句赏析】
- “莫听穿林打叶声,何妨吟啸且徐行。”
- 赏析: 面对突如其来的风雨,词人的第一反应不是狼狈躲避,而是“莫听”、“何妨”,表现出一种主动面对、从容不迫的态度。
- “竹杖芒鞋轻胜马,谁怕?一蓑烟雨任平生。”
- 赏析: 这是全词精神的集中体现。“竹杖芒鞋”象征着简朴、清贫的生活,但在词人看来,这比骑着高头大马还要“轻快”(“轻胜马”),更重要的是,“一蓑烟雨任平生”,表明他已将人生的风雨(喻指政治上的打击和坎坷)视为平常,无所畏惧,这是一种从精神上战胜苦难的伟大力量。
- “回首向来萧瑟处,归去,也无风雨也无晴。”
- 赏析: 这是词的哲理升华,风雨过后,回首来路,无论是风雨还是天晴,都已无所谓,这象征着词人超越了世俗的荣辱、得失、祸福,达到了一种物我两忘、宠辱不惊的极高精神境界。
- “莫听穿林打叶声,何妨吟啸且徐行。”
《水龙吟·登建康赏心亭》 - 辛弃疾
-
【朝代】 南宋
-
【体裁】 词(豪放派)
-
【作者】 辛弃疾,南宋伟大的爱国词人,其词以豪放为主,充满了慷慨激昂的爱国热情和壮志难酬的悲愤,世称“词中之龙”。
-
【核心主旨】 这首词是辛弃疾的代表作之一,词人登临建康赏心亭,看到壮丽的江山,却联想到自己报国无门、壮志未酬的处境,抒发了深沉的爱国情怀和英雄失路的悲愤。
-
【名句赏析】
- “把吴钩看了,栏杆拍遍,无人会,登临意。”
- 赏析: 这三个连续的动作,极具画面感,将词人内心的苦闷、激愤和孤独表现得淋漓尽致。“吴钩”本是杀敌的武器,如今却只能“看”着,无处可用;“栏杆拍遍”是焦躁、无奈的发泄;“无人会登临意”则是无人理解的巨大孤独,这是英雄无用武之地的典型写照。
- “休说鲈鱼堪脍,尽西风,季鹰归未?”
- 赏析: 用西晋张翰(字季鹰)见秋风起而思归乡的典故,反问自己:我难道像张翰那样只是为了个人安逸而归乡吗?词人借此表明,自己并非贪图安逸,而是有更重要的报国大业未完成,从而否定了消极归隐的想法。
- “倩何人唤取,红巾翠袖,揾英雄泪?”
- 赏析: 这是全词情感的最高潮,也是最悲凉的一句,一个顶天立地的英雄,在无人理解的孤独中,竟需要“红巾翠袖”(指歌女)来为自己擦拭眼泪,这既是英雄的悲情,也是对当权者不识人才的控诉,充满了深沉的悲剧色彩。
- “把吴钩看了,栏杆拍遍,无人会,登临意。”
《永遇乐·京口北固亭怀古》 - 辛弃疾
-
【朝代】 南宋
-
【体裁】 词
-
【核心主旨】 这首词是辛弃疾晚年的作品,也是怀古词的杰作,词人通过对京口(今镇江)三国时期和南朝宋武帝刘裕北伐事迹的追忆,联系南宋朝廷偏安一隅、不思进取的现实,表达了自己对国家命运的深切忧虑,以及渴望收复失地、建功立业的雄心壮志。
-
【名句赏析】
- “千古江山,英雄无觅,孙仲谋处。”
- 赏析: 开篇即景,点出“江山”的永恒与“英雄”的难觅,引出对孙权的追忆,暗含对南宋朝廷无能、缺少英雄的批评。
- “元嘉草草,封狼居胥,赢得仓皇北顾。”
- 赏析: 用南朝宋文帝刘义隆“草草北伐”最终惨败的典故,告诫南宋统治者,北伐必须做好充分准备,不能像刘义隆那样好大喜功、草率行事,这体现了辛弃疾作为战略家的远见卓识。
- “凭谁问:廉颇老矣,尚能饭否?”
- 赏析: 这是全词的点睛之笔,也是辛弃疾晚年心境的真实写照,他借用廉颇的典故,自比虽已年老,但报国之心未死,仍能为国效力,又有谁来“问”一声呢?这其中充满了不被朝廷信任、壮志难酬的悲愤和无奈。
- “千古江山,英雄无觅,孙仲谋处。”
第三单元:古代散文
《廉颇蔺相如列传》 - 司马迁 (节选)
-
【朝代】 西汉
-
【体裁】 传记(史传散文)
-
【作者】 司马迁,西汉伟大的史学家、文学家。《史记》是中国第一部纪传体通史,被鲁迅誉为“史家之绝唱,无韵之《离骚》”。
-
【核心主旨】 节选部分主要记叙了“完璧归赵”、“渑池之会”和“廉蔺交欢”三个著名故事,通过塑造蔺相如智勇双全、顾全大局的爱国形象和廉颇勇于改过的将军形象,歌颂了“国家利益高于一切”的爱国主义精神。
-
【重点人物形象】
- 蔺相如:
- 智勇双全: 面对秦王的贪婪,他敢于“完璧归赵”,在秦廷上与秦王斗智斗勇。
- 不畏强权: 在“渑池之会”上,他敢于与秦王针锋相对,维护赵国的尊严。
- 顾全大局: 在位高权重后,不与廉颇争锋,而是“先国家之急而后私仇”,表现出极高的政治远见和胸怀。
- 廉颇:
- 骁勇善战: 是战国时期著名的将领。
- 知错能改: 听到蔺相如的解释后,深感惭愧,负荆请罪”,表现出坦荡磊落的性格。
- 蔺相如:
-
【艺术特色】
- 人物形象鲜明: 通过个性化的语言、动作和神态描写,使人物形象栩栩如生。
- 情节曲折生动: 故事性强,矛盾冲突激烈,引人入胜。
- 对比衬托: 如将蔺相如的“智”与秦王的“贪”对比,将廉颇的“勇”与后来的“悔”对比,使人物形象更加突出。
第四单元:杂剧
《窦娥冤》 - 关汉卿 (节选)
-
【朝代】 元代
-
【体裁】 元杂剧
-
【作者】 关汉卿,元杂剧的奠基人,“元曲四大家”之首,他的剧作题材广泛,深刻反映了社会现实,尤其擅长塑造受压迫的妇女形象。
-
【核心主旨】 通过窦娥蒙受千古奇冤、最终感天动地的故事,深刻揭露了元代社会的黑暗、吏治的腐败和司法的不公,歌颂了窦娥的善良、反抗精神和至死不屈的坚强性格。
-
【重点情节与名句】
- “三桩誓愿”: 这是全剧的高潮,也是窦娥反抗精神的集中体现。
- 血溅白练: 窦娥临刑前发誓,刀砍下去,血不沾地,全部飞溅到悬挂的白练上,此愿应验。
- 六月飞雪: 她发誓,天降三尺大雪,掩盖她的尸身,此愿也应验。
- 大旱三年: 她发誓,楚州大旱三年,此愿最终也应验。
- 作用: 这三桩誓愿运用了浪漫主义手法,通过超自然的想象,让窦娥的冤屈得到了最强烈、最震撼的昭示,表达了人民对正义的渴望和对邪恶的控诉。
- 【名句】“地也,你不分好歹何为地!天也,你错勘贤愚枉做天!”
- 赏析: 这是窦娥在刑场上发出的最悲怆、最激愤的呐喊,她不仅控诉了昏官张驴儿,更将矛头直指主宰一切的“天地”,这是对整个不公正的社会秩序和封建伦理的深刻怀疑和猛烈抨击。
- “三桩誓愿”: 这是全剧的高潮,也是窦娥反抗精神的集中体现。
学习建议
- 背诵是基础: 对于诗词,务必做到滚瓜烂熟,背诵不仅是为了应对考试,更是为了深入理解其语言美、韵律美和意境美。
- 理解是关键: 不要死记硬背,要结合注释和背景资料,理解每一句诗、每一个词的含义,以及作者想要表达的情感和思想。
- 分析手法是重点: 留意作者是如何运用比喻、拟人、夸张、用典、对比、虚实结合、情景交融等艺术手法的,分析这些手法对于塑造形象、营造意境、表达主旨起到了什么作用。
- 知人论世: 了解作者的生平经历、思想性格和写作的时代背景,是理解作品深层内涵的钥匙,不了解苏轼的“乌台诗案”和贬谪经历,就很难理解《定风波》的旷达。
- 比较阅读: 将同一单元或不同主题的作品进行比较,可以比较柳永的《雨霖铃》和苏轼的《念奴娇》,体会婉约词与豪放词的不同风格;可以比较辛弃疾的两首词,体会他不同时期的心境变化。
希望这份详细的梳理能对你的学习有所帮助!祝你学习进步!