九上历史第六单元核心考点有哪些?
校园之窗 2025年12月20日 02:18:03 99ANYc3cd6
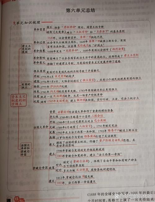
单元概述
本单元围绕“确立”这一核心,从三个层面展开:
- 思想奠基:启蒙运动为资本主义制度的建立提供了理论武器。
- 政治实践:英国、美国、法国通过革命,用法律形式确立了资本主义政治制度。
- 制度巩固:拿破仑的统治和《拿破仑法典》进一步巩固和发展了资本主义社会的法律规范。
时间线索:17世纪中叶(英国) -> 18世纪后期(美国) -> 18世纪末(法国)

(图片来源网络,侵删)
核心知识点详解
第17课 启蒙运动
核心地位:
- 性质:一场反封建的思想解放运动。
- 核心思想:理性主义,即强调用人的思考和判断来观察、分析和解决问题,而不是依赖神的意志或君主的权威。
- 作用:为法国大革命和美国独立战争提供了锐利的思想武器。
代表人物及其思想(表格对比,记忆更清晰):
| 人物 | 国籍 | 代表作 | 核心思想 |
|---|---|---|---|
| 伏尔泰 | 法国 | 《哲学通信》 | ① 批判天主教会的黑暗和腐朽。 ② 反对专制,提倡开明君主制。 ③ 倡导自由、平等。 |
| 孟德斯鸠 | 法国 | 《论法的精神》 | ① 提出三权分立学说(立法、行政、司法)。 ② 核心目的:防止权力滥用,保障自由。 ③ 影响深远:美国1787年宪法、法国《人权宣言》都体现了此思想。 |
| 卢梭 | 法国 | 《社会契约论》 | ① “社会契约论”:国家主权属于全体人民。 ② “主权在民”思想(核心)。 ③ 反对封建王权,倡导民主共和。 |
历史意义:
- 思想解放:沉重打击了欧洲封建专制制度和天主教会统治。
- 理论准备:为资产阶级革命提供了思想理论武器。
- 世界影响:促进了人类思想文明的进步,对后来中国的戊戌变法、辛亥革命等也产生了深远影响。
第18课 美国的独立
独立战争(1775-1783)

(图片来源网络,侵删)
- 根本原因:英国的殖民统治严重阻碍了北美资本主义经济的发展。
- 导火索:波士顿倾茶事件 (1773年)。
- 开始标志:来克星顿的枪声 (1775年)。
- 转折点:萨拉托加大捷 (1777年),美国开始获得国际援助。
- 结束标志:英国承认美国独立 (1783年)。
- 重要文件:《独立宣言》 (1776年)
- 宣告人人生而平等,享有生命权、自由权和追求幸福的权利;列举了英国殖民暴政;宣告北美13个殖民地脱离英国独立。
- 意义:是第一个以“人权宣言”形式确立资产阶级政治原则的纲领性文件,标志着美国的诞生。
美国宪法(1787年)
- 背景:独立后的美国邦联政府软弱无力,需要建立强有力的中央政府。
- 核心原则:三权分立(孟德斯鸠思想)和联邦制。
- 立法权:属于国会(参议院和众议院)。
- 行政权:属于总统(国家元首、政府首脑、军队总司令)。
- 司法权:属于最高法院。
- 意义:
- 积极:是世界上第一部资产阶级成文宪法,对后来许多国家的政治制度产生了深远影响。
- 局限性:允许奴隶制存在,不承认黑人、印第安人和妇女享有与白人男子同等的权利。
第19课 法国大革命与拿破仑帝国
法国大革命(1789-1794)
- 根本原因:封建专制制度和等级制度(教士、贵族是特权等级,第三等级承担所有赋税)严重阻碍了法国资本主义经济的发展。
- 导火索:三级会议的召开。
- 开始标志:攻占巴士底狱 (1789年7月14日,法国国庆日)。
- 重要文件:《人权宣言》 (1789年)
- 宣称人们生来自由,权利平等;私有财产神圣不可侵犯。
- 意义:体现了自由、平等、主权在民的原则,是法国大革命的纲领性文件,传播了资产阶级自由民主的进步思想。
- 高潮:雅各宾派专政 (1793-1794年),将革命推向顶峰。
- 结束标志:热月政变 (1794年),标志着法国大革命的结束。
拿破仑帝国与《拿破仑法典》
- 拿破仑上台:1799年“雾月政变”,建立执政府。
- 法兰西第一帝国:1804年,拿破仑加冕称帝。
- 《拿破仑法典》(又称《法国民法典》)
- 确立了资本主义社会的立法规范,明确保护私有财产,规定契约自由。
- 意义:
- 国内:是拿破仑最大的功绩,成为后来许多国家民法的范本。
- 国际:随着拿破仑的征服,传播了法国大革命的成果,动摇了欧洲的封建统治。
单元总结与比较
| 国家 | 事件/制度 | 核心文件/思想 | 核心特点/意义 |
|---|---|---|---|
| 英国 (第五单元) | 资产阶级革命 | 《权利法案》 | 确立了君主立宪制,为资本主义发展开辟了道路。 |
| 美国 | 独立战争 | 《独立宣言》、1787年宪法 | 《独立宣言》宣告“人人生而平等”;1787年宪法确立“三权分立”。 |
| 法国 | 大革命 | 《人权宣言》 | 最彻底、最激烈的资产阶级革命,传播了自由民主思想。 |
| 法国 | 拿破仑帝国 | 《拿破仑法典》 | 以法律形式巩固了法国大革命的成果,影响了世界。 |
共同点:

(图片来源网络,侵删)
- 根本原因:都是封建制度(或殖民统治)阻碍了资本主义经济的发展。
- 领导阶级:都是资产阶级领导。
- 思想武器:都受到了启蒙运动思想的影响。
- 历史作用:都推翻了旧的统治,确立了资本主义制度,促进了本国资本主义的发展。
常考题型与答题技巧
-
选择题:
- 考查基础:直接考察时间、人物、事件、文件内容。
- 例题:美国独立战争的转折点是? (萨拉托加大捷)
- 考查理解:通过材料或情景,考察对核心思想的理解。
- 例题:“主权在民”思想的最早提出者是? (卢梭)
- 考查基础:直接考察时间、人物、事件、文件内容。
-
材料分析题:
- 高频考点:通常给出《独立宣言》、《人权宣言》或《拿破仑法典》的节选材料。
- 答题技巧:
- 审问题:看清题目问的是什么(“反映了什么思想?”“有何意义?”“有何局限性?”)。
- 读材料:划出材料中的关键词句,如“人人生而平等”、“私有财产神圣不可侵犯”、“三权分立”等。
- 联所学:将材料中的信息与课本知识点对应起来。
- 组织答案:分点作答,条理清晰,先回答材料直接反映的内容,再结合所学知识阐述其历史意义或影响。
-
简答题/论述题:
- 高频考点:
- 比较英、美、法三国资产阶级革命的异同点。
- 评价拿破仑(功过)。
- 阐述启蒙运动与资产阶级革命的关系。
- 答题技巧:
- 结构化:采用“总-分-总”的结构,开头简要概括,中间分点论述(如“相同点:1... 2...”,“不同点:1... 2...”),结尾进行总结。
- 全面性:评价人物或事件要一分为二,既要看到其进步性(功),也要看到其局限性(过),拿破仑既是“法国大革命的捍卫者”,也是“战争的独裁者”。
- 史论结合:观点要有史实支撑,不能空谈,说“启蒙运动为革命提供了思想武器”,就要举出伏尔泰、孟德斯鸠等人的具体思想。
- 高频考点:
希望这份详细的梳理能帮助你更好地掌握九年级上册历史第六单元的内容!祝你学习进步!