高中古诗文名句检查,你真的会背吗?
经典古诗 2026年1月26日 23:16:40 99ANYc3cd6
高中阶段要求掌握的古诗文数量多、范围广,是语文学习中的重点和难点,为了方便您检查,我将按照“核心考点”和“易错点”两个维度,为您梳理一份清单。
第一部分:核心考点必背名句清单
这部分是高考默写题的“必争之地”,务必确保准确无误,我按主题和体裁进行了分类,方便您记忆。

励志、进取、奋斗
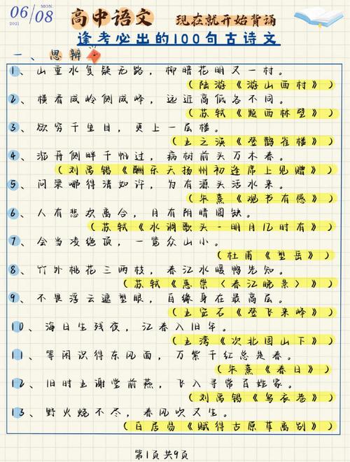
- 长风破浪会有时,直挂云帆济沧海。 —— 李白《行路难·其一》
(表达冲破险阻,实现远大抱负的坚定信念。)
- 会当凌绝顶,一览众山小。 —— 杜甫《望岳》
(表达不畏艰难,敢于攀登绝顶,俯视一切的雄心和气概。)
- 老骥伏枥,志在千里;烈士暮年,壮心不已。 —— 曹操《龟虽寿》
(表达有志之人,即便到了晚年,也仍有雄心壮志。)
- 沉舟侧畔千帆过,病树前头万木春。 —— 刘禹锡《酬乐天扬州初逢席上见赠》
(比喻新事物必将取代旧事物,社会在不断发展进步。)
(图片来源网络,侵删) - 不畏浮云遮望眼,自缘身在最高层。 —— 王安石《登飞来峰》
(站得高才能看得远,不被眼前的事物所迷惑。)
理想、抱负、家国情怀
- 先天下之忧而忧,后天下之乐而乐。 —— 范仲淹《岳阳楼记》
(以天下为己任,忧国忧民的崇高思想境界。)
- 了却君王天下事,赢得生前身后名,可怜白发生! —— 辛弃疾《破阵子·为陈同甫赋壮词以寄之》
(渴望为国建功立业,却又壮志未酬的悲愤。)
- 人生自古谁无死,留取丹心照汗青。 —— 文天祥《过零丁洋》
(舍生取义,视死如归的崇高民族气节。)
- 报君黄金台上意,提携玉龙为君死。 —— 李贺《雁门太守行》
(以死报效君王的决心和忠勇。)
- 位卑未敢忘忧国。 —— 陆游《病起书怀》
(即使地位低微,也不敢忘记忧念国事。)
亲情、友情、思乡怀人
- 但愿人长久,千里共婵娟。 —— 苏轼《水调歌头·明月几时有》
(对远方亲人的美好祝愿,豁达而富有哲理。)
- 烽火连三月,家书抵万金。 —— 杜甫《春望》
(在战乱中,家书的珍贵和急切。)
- 海内存知己,天涯若比邻。 —— 王勃《送杜少府之任蜀州》
(真挚的友情不受时空限制,可以超越距离。)
- 乡书何处达?归雁洛阳边。 —— 王湾《次北固山下》
(思乡之情,借鸿雁传书。)
- 夕阳西下,断肠人在天涯。 —— 马致远《天净沙·秋思》
(游子漂泊在外的孤寂与愁苦。)
哲理、人生感悟
- 人有悲欢离合,月有阴晴圆缺,此事古难全。 —— 苏轼《水调歌头·明月几时有》
(认识到人生和自然都有缺憾,是客观规律。)
- 山重水复疑无路,柳暗花明又一村。 —— 陆游《游山西村》
(比喻在困境中遇到转机,出现新的希望。)
- 问渠那得清如许?为有源头活水来。 —— 朱熹《观书有感(其一)》
(比喻人要不断学习新知识,思想才能保持活跃与进步。)
- 落红不是无情物,化作春泥更护花。 —— 龚自珍《己亥杂诗·其五》
(事物虽然消逝,但其价值依然存在,并以另一种方式奉献。)
- 不识庐山真面目,只缘身在此山中。 —— 苏轼《题西林壁》
(当局者迷,旁观者清,要认识事物的真相,必须跳出局限。)
写景、抒情、意境营造
- 大漠孤烟直,长河落日圆。 —— 王维《使至塞上》
(描绘了塞外雄浑壮阔的景象。)
- 晴川历历汉阳树,芳草萋萋鹦鹉洲。 —— 崔颢《黄鹤楼》
(描绘了登楼所见的明丽景色,充满乡愁。)
- 潮平两岸阔,风正一帆悬。 —— 王湾《次北固山下》
(描绘了江面开阔、风平浪静的景象,暗含旅途顺利的祝愿。)
- 乱花渐欲迷人眼,浅草才能没马蹄。 —— 白居易《钱塘湖春行》
(描绘了早春西湖生机勃勃的景象。)
- 东风夜放花千树,更吹落,星如雨。 —— 辛弃疾《青玉案·元夕》
(描绘了元宵夜灯火辉煌、烟花绚烂的热闹景象。)
《论语》名句
- 学而时习之,不亦说乎?有朋自远方来,不亦乐乎?人不知而不愠,不亦君子乎? —— 《学而》
- 温故而知新,可以为师矣。 —— 《为政》
- 学而不思则罔,思而不学则殆。 —— 《为政》
- 知之者不如好之者,好之者不如乐之者。 —— 《雍也》
- 三人行,必有我师焉,择其善者而从之,其不善者而改之。 —— 《述而》
- 逝者如斯夫,不舍昼夜。 —— 《子罕》
- 士不可以不弘毅,任重而道远。 —— 《泰伯》
- 岁寒,然后知松柏之后凋也。 —— 《子罕》
- 己所不欲,勿施于人。 —— 《颜渊》
- 君子成人之美,不成人之恶,小人反是。 —— 《颜渊》
第二部分:高频易错点检查
“会背”不等于“会写”,高考默写最怕的就是“眼高手低”,以下是一些最容易写错的字、词和句式,请特别注意:
同音字、形近字错误
- “长风破浪会有时,直挂云帆济沧海”
- 易错:
济(jì) 常误写为既(jì)。济是“渡过”的意思。
- 易错:
- “沉舟侧畔千帆过,病树前头万木春”
- 易错:
畔(pàn) 常误写为旁(páng)。畔指旁边,尤指水边。
- 易错:
- “人生自古谁无死,留取丹心照汗青”
- 易错:
汗青指史书,青常误写为清。
- 易错:
- “落红不是无情物,化作春泥更护花”
- 易错:
落红的红常误写为花或虹。花是结果,红指代落花本身。
- 易错:
- “学而不思则罔,思而不学则殆”
- 易错:
罔(wǎng) 常误写为惘(wǎng)。殆(dài) 常误写为贻(yí)。
- 易错:
虚词、句式错误
- “有朋自远方来,不亦乐乎?”
- 易错:
亦(yì) 常误写为也,虽然意思相近,但这里是文言固定句式。
- 易错:
- “人不知而不愠,不亦君子乎?”
- 易错:
愠(yùn) 常误写为温(wēn)。愠是恼怒、怨恨的意思。
- 易错:
- “不识庐山真面目,只缘身在此山中”
- 易错:
缘(yuán) 常误写为原(yuán)。缘是“因为”的意思。
- 易错:
顺序颠倒、漏字、添字
- “山重水复疑无路,柳暗花明又一村”
- 易错:
水复和山重的顺序不能颠倒。花明和柳暗的顺序也不能颠倒。
- 易错:
- “大漠孤烟直,长河落日圆”
- 易错:
孤烟和长河的顺序不能颠倒。落日和长河的顺序也不能颠倒。
- 易错:
- “潮平两岸阔,风正一帆悬”
- 易错:
两岸阔和一帆悬的顺序不能颠倒。
- 易错:
第三部分:自我检查方法
- 遮默法: 找一个同学或家长,看着题目(上句或题目要求),你写出下句,这是最直接有效的检查方式。
- 关键词法: 每个句子都有一个或多个核心词(“济沧海”、“汗青”、“罔殆”等),重点检查这些关键词是否写对。
- 理解记忆法: 不要死记硬背,理解每一句诗的背景、含义和情感,理解了,就不容易写错,你知道“汗青”是古代在竹简上记事,要先用火烤出水分(像出汗一样),所以叫“汗青”,就不会写成“清”了。
- 分类整理法: 把自己经常写错的句子单独整理到一个本子上,形成“错题集”,考前重点看。
希望这份清单和方法能帮助您高效地进行古诗文名句的检查和巩固!祝您学习进步,在考试中取得好成绩!如果您有特定的句子想让我检查,也可以随时发给我。