这份试卷涵盖了人教版八年级下册前半学期的核心知识点,包括: 第十六章 二次根式 第十七章 勾股定理 第十八章 平行四边形 试卷结构分为选择题、填空题、计算题、证明题和综合应用题,难度适中,覆盖了基础、中档和少量拔高题目,非常适合期中复习和自测。(图片来源网络,侵删) 八年级下册数学期中模拟试卷 考试时间: 120分钟 满分: 120分 选择题(每小题3分,共30分)
江苏版的语文教材在全国范围内以其选文的经典性、深度和广度而著称,九年级上册的古诗文篇目难度较大,充满了家国情怀、人生感悟和哲理思辨,是中考的重点考察内容。 以下是该册书的全部古诗文清单,包含原文、注释、译文、赏析以及中考重点,希望能对您的学习有所帮助。 第一单元:家国情怀 《沁园春·雪》 - 毛泽东 【原文】 北国风光,千里冰封,万里雪飘。 望长城内外,惟余莽莽;大河上下,顿失滔滔
第一单元:野望 野望 作者: 王绩(唐) 体裁: 五言律诗 【原文】 东皋薄暮望,徙倚欲何依。 树树皆秋色,山山唯落晖。 牧人驱犊返,猎马带禽归。 相顾无相识,长歌怀采薇。 【注释】 皋(gāo): 水边高地,这里指作者隐居的地方。 薄暮: 傍晚。 徙倚(xǐ yǐ): 徘徊,来回走动。 依: 依靠,归属。 落晖: 落日的余光。 犊(dú): 小牛,这里指
二年级是小学语文学习的关键期,学生从识字、写字的初级阶段,逐步向阅读理解和简单写作过渡,这个阶段的资源选择和评价方式,直接影响孩子的学习兴趣和学习习惯的养成。 我将从以下几个方面为您详细解读:(图片来源网络,侵删) 第一部分:核心学习资源推荐 二年级语文资源可以大致分为“课内同步”和“课外拓展”两大类。 A. 课内同步资源(紧跟教材,巩固基础) 这类资源主要用于复习、预习和巩固课堂所
下面我将为您提供一个完整、通用且高质量的八年级数学PPT课件框架和制作指南,并以《一次函数》这一核心章节为例,展示具体的内容和设计思路,您可以根据这个框架和示例,轻松制作出其他章节的课件。 第一部分:八年级数学PPT课件通用制作指南 在制作任何一节数学课的PPT之前,请先思考以下几个问题,这决定了课件的质量:(图片来源网络,侵删) 教学目标: 学生学完这节课后,应该“知道什么”(知识
以下为您精心策划了四大类、共20个初二年级主题班会主题,并附上了活动目标和简要活动流程,供您参考选择。 第一类:青春成长与自我探索类 (适合帮助学生平稳度过青春期,建立积极的自我认知)(图片来源网络,侵删) 主题:你好,青春期!——我的身体与情绪小课堂 活动目标: 科学认识青春期身心变化,学会接纳自己,掌握基本的情绪调节方法。 简要流程: 破冰导入: 播放关于青春期的趣味动画短
分享,让世界更美好 分享,是一个多么美好的词语,它像一缕温暖的阳光,能驱散心头的阴霾;它像一座坚固的桥梁,能连接彼此的心灵;它更像一粒神奇的种子,能在我们心中开出绚烂的花朵。 记得小时候,我最喜欢吃的零食是巧克力,有一次,妈妈给我买了一盒,我小心翼翼地把它藏在书桌的抽屉里,谁也不给看,看着那诱人的包装,我口水直流,但总是舍不得吃,直到有一天,我的表妹来我家玩,她那双亮晶晶的眼睛紧紧盯着我的巧克
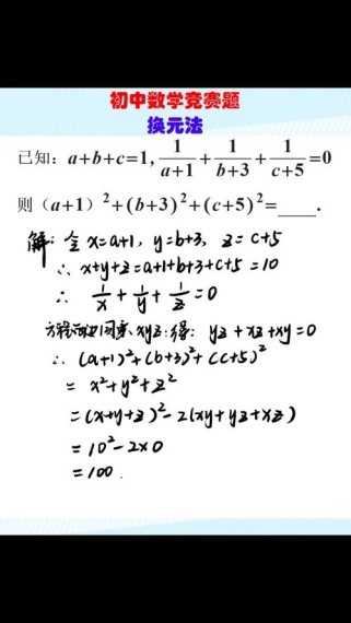
这份指南将从知识拓展、能力提升、备考策略和模拟题四个方面展开,旨在帮助七年级学生系统地准备数学竞赛,并取得优异成绩。 知识拓展:超越课本,夯实基础 人教版七年级课本是基础,但竞赛远不止于此,你需要将课本知识进行深化和拓展。(图片来源网络,侵删) 核心模块一:有理数 基本运算、混合运算、绝对值。 竞赛拓展: 绝对值的深度应用: 绝对值的几何意义(数轴上的距离)。 含绝对值
第一部分:光现象 这是八年级上册画图题的绝对核心,分值高,题型多。 光的反射光路图 核心考点:(图片来源网络,侵删) 反射定律:三线共面(反射光线、入射光线、法线在同一平面内)、两线分居(反射光线和入射光线分居法线两侧)、两角相等(反射角 = 入射角)。 作图步骤: 画界面: 用一条直线表示反射面(如平面镜)。 画法线: 过入射点 O 作一条垂直于界面的虚线,这就是法线。